经管院首页  |   招生咨询:0871-68314770

 明德  致知  树人 

Mingde Zhizhi Shuren

当前位置:教育学院  >>  学院新闻  >>  技能大赛  >>  浏览文章

云南经济管理学院学子在2025年“中国教育电视台·外研社杯”职场英语挑战赛写作比赛(云南赛区)中斩获佳绩

2025年11月08日    教育学院    0

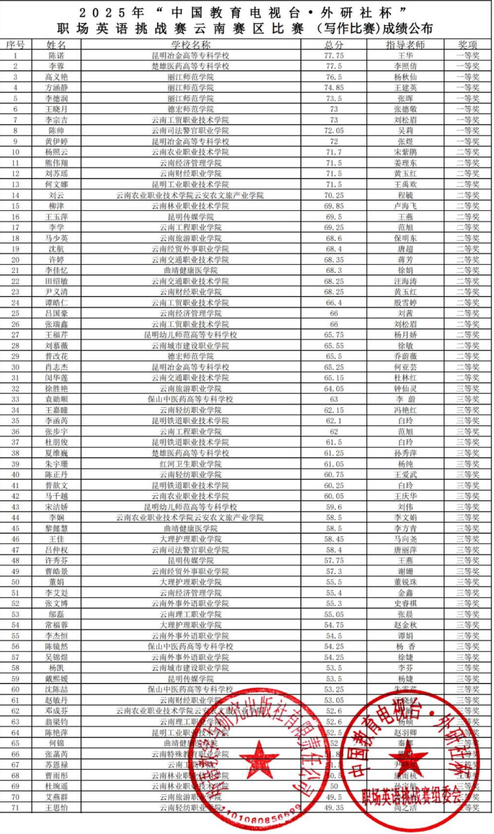
近期,2025年“中国教育电视台·外研社杯”职场英语挑战赛写作比赛(云南赛区)顺利收官。云南经济管理学院教育学院严谨组织初赛选拔工作,所选派的三名参赛学生皆不辱使命,凭借扎实的语言基础和出色的综合素养斩获佳绩。其中,教育学院的熊伟翔、财经商贸学院的吕国豪同学荣获二等奖,教育学院的李艾彣同学荣获三等奖。 

image.png 

教育学院三名学子分别获二等奖、三等奖

本次赛事由北京外国语大学主办,外语教学与研究出版社、中国教育电视台以及云南交通职业技术学院联合承办。其核心目标为提升高职学生职场英语交流及跨文化传播能力,重点考查参赛选手英文书面沟通、逻辑分析、人文思辨等关键素养,是云南高职英语教育领域颇具影响力的赛事平台。比赛于10月17日上午9:00至11:00以远程机考的形式举办,全省各职业院校的优秀学子同场竞技,竞争十分激烈。 

image.png

参赛选手在参与线上省赛

为在赛事中呈现最佳表现,教育学院予以高度重视,提前组建备赛工作小组,拟定“选拔-辅导-模拟”全流程备赛方案。通过校级初赛广泛挖掘具备英语写作特长的学生,组建专项备赛团队,为学生夯实竞技基础。

此次三名学生均获佳绩,这不仅是对参赛学生个人能力的充分认可,更是教育学院深入推进职业英语教学改革、践行“以赛促教、以赛促学”理念的有力证明。教育学院将以此次赛事为契机,进一步总结备赛经验,把赛事核心能力要求融入日常教学,优化“职业导向型”英语课程体系,持续搭建多元化实践平台,助力学生提升职场英语应用核心竞争力。 


版权所有 © 云南经济管理学院-教育学院    滇ICP备05007082号    

Copyright  云南经济管理学院-教育学院